Мистическое число

Материал из Телемапедии
019cuohg9cuoh93

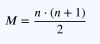
Мистическое число (в западной ритуальной традиции также называемое «суммированием» или «теософским сложением») — сумма всех натуральных чисел от единицы до порядкового номера конкретной сефиры каббалистического Древа Жизни или Планеты.

Математическая формула

Для любого числа n его мистическое число M вычисляется по формуле:

935935


Иерархия чисел в магии планет

В документах Герметического ордена Золотой Зари (например, в манускриптах о камеях) выделяют четыре уровня чисел для каждой планетной силы:

Число сефиры (n): Порядковый номер на Древе Жизни.
Мистическое число сефиры: Сумма чисел от 1 до n.
Число Квадрата (n2): Общее количество ячеек в магическом квадрате (камеи) планеты.
Мистическое число планеты: Сумма всех чисел в магическом квадрате (сумма от 1 до n2). Именно это число часто используется для вычисления имен Духов и Разумов.

Таблица соответствий для сефирот и планет

Сефира Планета Число (n) Мистическое число сефиры Сумма квадрата (число планеты)
Бина Сатурн
3
6
45
Хесед Юпитер
4
10
136
Гебура Марс
5
15
325
Тиферет Солнце
6
21
666
Нецах Венера
7
28
1225
Ход Меркурий
8
36
2080
Йесод Луна
9
45
3321
Малкут Земля
10
55
--

Практическое применение в Герметическом ордене Золотой Заре

Расчет имен: Гематрия (числовое значение) имен Разумов планет всегда равна «Мистическому числу Планеты» (сумме квадрата). Например, имя Разума МарсаГрафиэль (Graphiel) — в сумме дает 325.
Имена Духов: Имена Духов планет также выводятся из этих чисел, но часто имеют более «плотную» или «хаотичную» природу.
Степени инициации: Числа сефирот и их мистические суммы определяют структуру степеней Ордена (например, степень 2°=9° связана с числом 9 и его суммой 45).

Пример для Марса (его число 5):

Число сефиры Гебура — 5.
Мистическое число сефиры — 15 (Сумма 1 + 2 + 3 + 4 + 5 = 15).
Сторона магического квадрата — 5 ячеек.
Всего ячеек в квадрате — 25.
Сумма всех чисел в квадрате (Мистическое число планеты) — 325.